NaslovnicaBiHOko 2,6 milijardi maraka duguje 5.109 obveznika: Ko su najveći porezni dužnici...

Oko 2,6 milijardi maraka duguje 5.109 obveznika: Ko su najveći porezni dužnici u FBiH

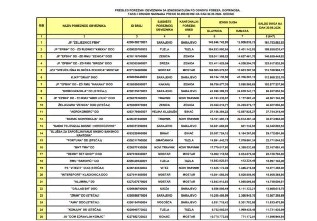
Najveći pojedinačni dužnik su JP “Željeznice FBiH”, s iznosom od skoro 162 miliona KM

Vlada Federacije Bosne i Hercegovine najavila je da će strogo kontrolisati primjenu zakona o minimalnoj neto plati u FBiH od 1. januara, odnosno da će se paziti da pojedine kompanije ne izbjegavaju izmirenje svih obaveza prema radnicima i državi.

Međutim, brojne kompanije već sada ne izmiruju svoje obaveze, a najveći poreski dužnici su državna preduzeća.

U Federaciji BiH postoji 5.109 pravnih lica koje imaju dug po osnovu poreza, doprinosa, taksi i drugih naknada od preko 50.000 KM. Oni duguju ukupno 2,6 milijarde maraka.

Najveći poreski dužnici. Screenshot

Najveći pojedinačni dužnik su JP “Željeznice FBiH”, s iznosom od skoro 162 miliona KM. 

Potom slijedi nekoliko rudnika koji posluju u sastavu Elektroprivrede BiH, klinički centar u Mostaru, GRAS, te Hidrogradnja i Željezara Zenica koji su u stečaju. Zbirno gledano najveći dužnik je koncern Elektroprivrede BiH.

Cijelu listu najvećih dužnika pogledajte OVDJE.

Izvor: avaz

spot_img